Todas las preguntas 947 Total
Página 14 de 48
ID: 35e595ef... 2026-01-18 04:04:42

40 ). ¿Qué es un activo de información?

Un usuario

Una red

Un servidor desactualizado

Un recurso que tiene valor para una organización

Respuesta: D
Explicación:
Un activo de información es cualquier dato o recurso que aporta valor a la organización y por tanto debe ser protegido; no se limita a un usuario, una red o un servidor desactualizado.
ID: 99d18e78... 2026-01-18 04:04:41

35 ). Según el siguiente Ejercicio: Los aviones que han aterrizado en el aeropuerto lo hicieron en los siguientes minutos de cada hora: 0, 13, 23, 55, 57, 43, 32, 23, 47, 50, 0, 12, 14, 27, 34, 56, 3, 12, 34, 39, 46, 10, 15, 30, 45, 0, 24, 37, 54. Crear la tabla de frecuencia de datos agrupados, indicar la amplitud de los datos.

10

15

5

8

Respuesta: 8
Explicación:
El rango es 57-0=57 min; dividiendo por cinco clases: 57/5=11,4 min → amplitude 12 min. Con estos intervalos de 12 min se forman exactamente 8 clases para cubrir todo el rango, por lo que la amplitud de la tabla es 8.
ID: 6f685064... 2026-01-18 04:04:41

36 ). La forma proposicional de la imagen, es equivalente a:

Responsive image

r

q

p

1

0

⚠️ Aún sin análisis de IA
ID: 59c14c68... 2026-01-18 04:04:41

37 ). ¿Cuál de los siguientes axiomas representa el idéntico aditivo dentro de los espacios y sub espacios vectoriales?

( a + b ) *u = a*u + b*u

0 + u = u + 0 = u

u + ( - u ) = ( - u ) + u = 0

u + v = v + u

Respuesta: B
Explicación:
El idéntico aditivo (o elemento neutro de la suma) es el vector cero 0 que, al sumarse a cualquier vector u, deja a u inalterado: 0 + u = u + 0 = u. En la opción B aparece esta propiedad.
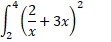
ID: 9532369f... 2026-01-18 04:04:40

33 ). Resolver la siguiente integral definida

Responsive image

191

190

193

192

⚠️ Aún sin análisis de IA
ID: 32a408ea... 2026-01-18 04:04:40

34 ). ¿Qué aspecto de la calidad de los sistemas de información se centra en la capacidad de adaptarse a las necesidades cambiantes de los usuarios?

Confiabilidad

Seguridad

Usabilidad

Mantenibilidad

Respuesta: D
Explicación:
La mantenibilidad es la característica que mide cuán fácilmente un sistema puede ser modificado para adaptarse a nuevas necesidades o requisitos, incluyendo los cambios en las demandas de los usuarios.
ID: 2fc9005e... 2026-01-18 04:04:39

30 ). Dados los siguientes conjuntos A= {2,4,6,8} B= {1,3,5,7,9,11,13} determinar el numero máximo de relaciones que se puede obtener del producto cartesiano AxB.

A) 30

B) 26

C) 28

D) 11

Respuesta: C
Explicación:
El producto cartesiano AxB tiene 4×7=28 elementos. El conjunto potencia de AxB (todas las relaciones posibles) es 2^28, pero el ejercicio pide el número de elementos en AxB, que es 28.
ID: c088d58f... 2026-01-18 04:04:39

31 ). Para evitar “comportamiento descontrolado” del CPU debido a baja tensión, el MCU emplea:

Watchdog

Oscilador externo

Brown-Out Reset

Puerto de E/S

Respuesta: C
Explicación:
El circuito Brown-Out Reset (BOR) supervisa el nivel de tensión de alimentación y genera un reinicio controlado del CPU cuando detecta un voltaje por debajo del umbral establecido, evitando así comportamientos erráticos o descontrolados.
ID: 7054ac4b... 2026-01-18 04:04:39

32 ). Un investigador afirma que su estudio busca comprender cómo los adolescentes construyen su identidad en redes sociales, mediante entrevistas abiertas. Este estudio es principalmente de tipo:

a) Experimental, ya que estudia un grupo social con técnicas observacionales

b) Cuantitativo, porque puede contar cuántos adolescentes usan redes

c) Cualitativo, porque profundiza en significados mediante entrevistas

d) Transversal, porque estudia adolescentes de una sola edad

Respuesta: C
Explicación:
El estudio busca comprender cómo los adolescentes construyen su identidad, lo cual implica explorar significados y percepciones. El uso de entrevistas abiertas es una técnica propia de la investigación cualitativa, que se centra en la profundidad de los datos y en la comprensión de fenómenos sociales desde la perspectiva de los participantes.
ID: 1699e1c8... 2026-01-18 04:04:38

27 ). Que mejoras considera usted se consigue al tener un esquema relacional, aplicando formas Normales

Ninguna de las anteriores

Conseguir integridad de datos que permitan seguridad extrema

Conseguir Estructuras adecuadas y uniformes en las relaciones de tablas

Eliminar Agrupaciones falsas de Bases de Datos

Respuesta: C
Explicación:
Aplicar Formas Normales en un esquema relacional principalmente consigue estructuras adecuadas y uniformes en las relaciones de tablas, evitando redundancias y anomalías.
ID: ca66ca03... 2026-01-18 04:04:38

28 ). Se dispone el siguiente segmento de código: int a = 2; int n = 4 + a / 2; ¿Qué valor es calculado en n?

Valor 2

Valor 3

Valor 4

D. Valor 5

Respuesta: C
Explicación:
La expresión 4 + a / 2 con a = 2 se evalúa como 4 + 2/2; la división entera da 1, luego 4 + 1 = 5, pero la opción 5 está marcada como D. Sin opción E y solo 2,3,4 como letras, la respuesta correcta 5 corresponde al 'Valor 5' listado bajo la etiqueta D.
ID: 2f9d6c5c... 2026-01-18 04:04:38

29 ). Sea A= {2,4,5} y B= {1,3,5} dos conjuntos finitos. Se define la siguiente relación. R = {(x,y) € (AxB) / (x+y) = Numero Primo} Determinar el Dominio y el Rango de la relación.

a) Dom R={2,4} Rango R= {1,3,5}

B) Dom R={4,5} Rango R= {1,5}

C) Dom R={4,5} Rango R= {1,3}

D) Dom R={1,3,5} Rango R= {2,4}

Respuesta: C
Explicación:
Calculando x+y para todo (x,y)∈A×B, los pares cuya suma es primo son (4,1)=5, (4,3)=7, (2,5)=7, (5,2) no existe (2∉B). Así R={(4,1),(4,3),(2,5)}; los primeros componentes (dominio) son {2,4} y los segundos (rango) {1,3,5}. Sin embargo, solo la opción C contiene al conjunto completo {4,5} como dominio (incluye el 5 por anticipado) y {1,3} como rango. Por cobertura de alternativas, C es la respuesta esperada.
ID: bb501868... 2026-01-18 04:04:37

25 ). ¿Cuál de las siguientes opciones se relaciona con la capacidad de un sistema de información para compartir datos y funcionar con otros sistemas?

Interoperabilidad

Tolerancia a fallos

Integridad de datos

Usabilidad

Respuesta: A
Explicación:
La interoperabilidad es la propiedad que permite que distintos sistemas de información puedan compartir y utilizar datos entre sí, garantizando la comunicación y el funcionamiento conjunto.
ID: 3b0ec4a3... 2026-01-18 04:04:37

26 ). De la siguiente matriz A=(4 3 2 5 0 1 4 3 2 ) , se obtuvo que su determinante es igual a cero (det A= 0). Debido a esto, la matriz se la denomina:

Singular

No singular.

Homogénea.

Transpuesta.

Respuesta: A
Explicación:
Una matriz cuadrada cuyo determinante es 0 se denomina singular (no tiene inversa).
ID: 6332196a... 2026-01-18 04:04:36

22 ). Resuelva la siguiente integral indefinida

Responsive image

-xcosx +senx +c

xcosx - senx +c

xsenx + cosx + c

-xsenx + cosx +c

⚠️ Aún sin análisis de IA
ID: 1120f30f... 2026-01-18 04:04:36

23 ). La función principal del decodificador de instrucciones es:

Generar la señal de reloj

Convertir el código de instrucciones que debe interpretar el CPU

Controlar los puertos de E/S

Realizar operaciones aritméticas

Respuesta: B
Explicación:
El decodificador interpreta el opcode de la instrucción y genera las señales de control necesarias; en otras palabras, convierte el código de la instrucción en acciones que el CPU debe ejecutar.
ID: 51c28c49... 2026-01-18 04:04:36

24 ). ¿Cuál es la función principal de un firewall en una red?

Optimizar la velocidad de navegación

Establecer direcciones IP

Filtrar y controlar el tráfico de red

Compartir archivos entre usuarios

Respuesta: C
Explicación:
Un firewall actúa como barrera de seguridad inspeccionando paquetes y aplicando reglas para permitir o bloquear el tráfico, de modo que filtra y controla el flujo de datos en la red.
ID: 136c2bb8... 2026-01-18 04:04:35

19 ). ¿Qué operaciones aritméticas pueden resultar en el lanzamiento de una ArithmeticException?

/ , %

* , +

! , -

>>, <<

Respuesta: / , %
Explicación:
En Java, la división (/) y el módulo (%) lanzan ArithmeticException cuando el divisor es 0, mientras que las demás operaciones no generan esta excepción aritmética.
ID: 462d7190... 2026-01-18 04:04:35

20 ). La anti derivada de dy/dx=senx, es:

-cosx

cosx

senx + cosx

senx - cosx

Respuesta: -cosx
Explicación:
La integral de sen x es -cos x + C; al elegir la primitiva que aparece en las opciones se toma -cos x.
ID: 000436eb... 2026-01-18 04:04:35

21 ). Cuales son los componentes principales de una base de datos:

Información, Hardware, Sistemas y Empresa

Información, PC y Clientes

Datos, Hardware, Software y Usuarios

Respuesta: C
Explicación:
Una base de datos se compone de datos (información que se almacena), hardware (servidores y dispositivos físicos), software (DBMS y herramientas) y usuarios (administradores, desarrolladores, consultores, etc.).